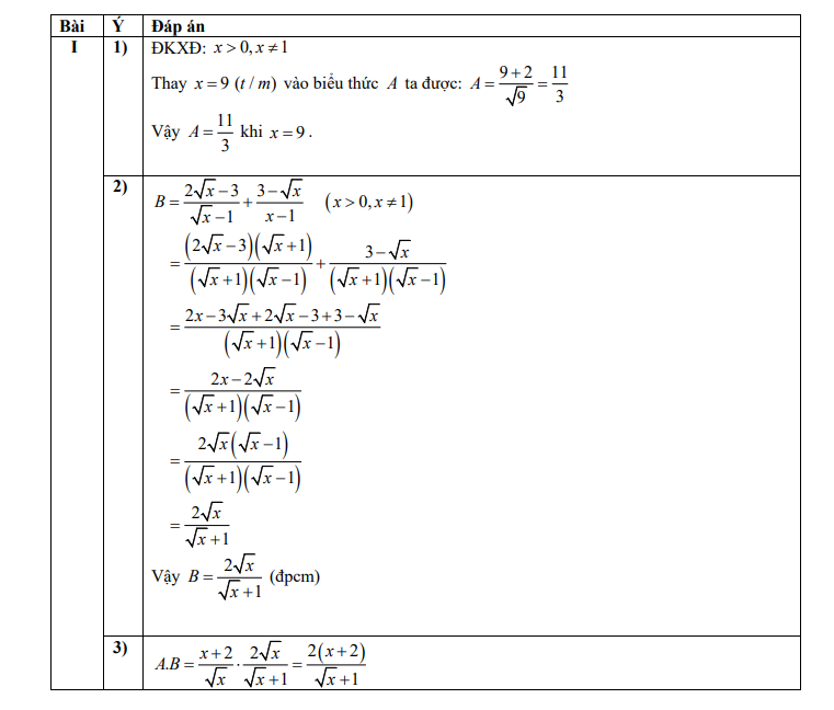
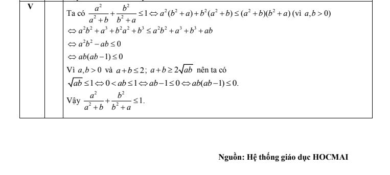
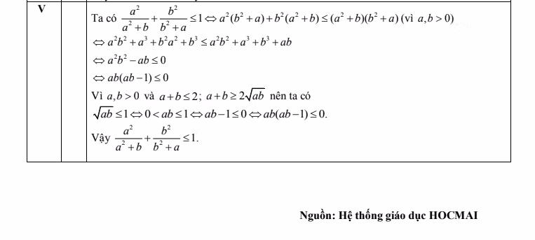
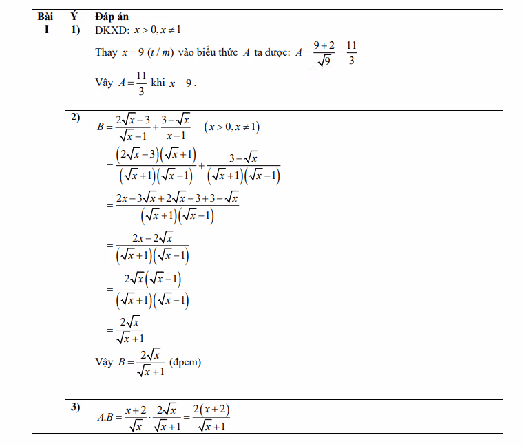
Cập nhật đầy đủ đáp án đề thi môn Toán vào lớp 10 Hà Nội
Sáng nay (11/6), các thí sinh đã hoàn thành môn Toán, cũng là môn thi cuối cùng trong kỳ thi tuyển sing vào lớp 10 công lập Hà Nội. Dưới đây là lời giải gợi ý môn Toán, được các giáo viên của tổ Toán thuộc hệ thống giáo dục HOCMAI thực hiện.
Đề thi tiếp tục được ra theo hướng quen thuộc đối với thí sinh như các năm trước đây, và được các thí sinh và giáo viên đánh giá là không quá khó nhưng có những bài mang tính phân loại cao. Phổ điểm thi môn Toán năm nay được nhận định là sẽ rơi nhiều vào khoảng từ 6-7 điểm.






Những học sinh đăng ký vào trường chuyên sẽ làm thêm bài môn chuyên trong ngày mai (12/6). Điểm xét tuyển lớp 10 chuyên là tổng điểm ba bài thi Toán, Văn, Ngoại ngữ và điểm môn chuyên nhân hệ số hai.