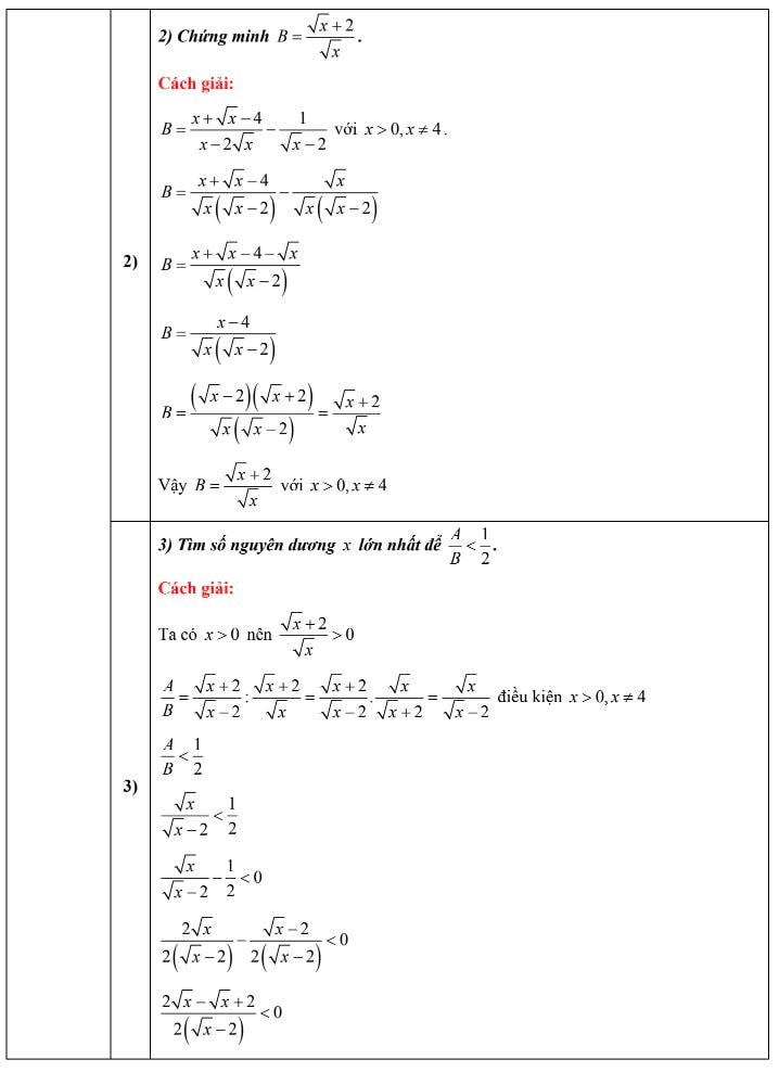
Đáp án môn Toán thi vào lớp 10 Hà Nội năm 2025
Sáng 8/6, thí sinh Hà Nội đã hoàn thành môn thi cuối cùng là môn Toán trong kỳ thi tuyển sinh lớp 10 THPT công lập năm học 2025-2026.
Học sinh và thí sinh tham khảo đáp án môn Toán thi vào lớp 10 tại Hà Nội năm học 2025-2026 dưới đây:









